SODIUM CITRATE DIHYDRATE

Molecular Formula

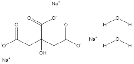
Na3C6H5O7.2H2O

Molecular Weight

294.10

Synonyms

Trisodium citrate Dihydrate

Citric acid, trisodium salt dihydrate

 

CAS No.

CAS No.: 6132-04-3

Structural Formula

Description 

White Crystalline Powder                                          

Solubility 

Clear & colourless solution

Assay (by Titrimetry)               

Min 98.00 %

Grades Available:

  • Food Grade
  • Technical Grade
  • Reagent Grade
  • Conforming USP/FCC/EP/ACS standards.
  • We also provide custom synthesis based on the quality required.

Packaging

50 kgs HDPE Bags with LD Liner,

25 kgs HDPE Bags with LD Liner,

As per customer’s requirement

Enquiry

icon

Office Address

SKC CHEMIE PVT LTD
PLOT NO. A 85 TTC INDUSTRIAL AREA KHAIRNE NAVI MUMBAI - 400709

Get direction Get direction icon
icon

Email Address

skcchemie@hotmail.com

info@skcchemie.com

Send message Send message icon
icon

Phone Number

+91 9820057869

+91 9930737745

+91 9167557678

Call Us Call Us icon